《Nature Nanotechnology》刊发永利官网自旋电子学领域重要研究进展
永利官网化学与材料科学学院王飞教授以第一作者在国际顶级期刊Nature Nanotechnology上发表了题为《Deterministic switching of perpendicular magnetization by out-of-plane anti-damping magnon torques》(通过面外反阻尼磁振子转矩实现垂直磁化铁磁层的确定性翻转)的研究论文。这是永利官网教师首次以第一作者身份在Nature Nanotechnology(影响因子:38.1)发表文章。该研究由永利官网、新加坡国立大学和日本东北大学等多家单位联合完成。
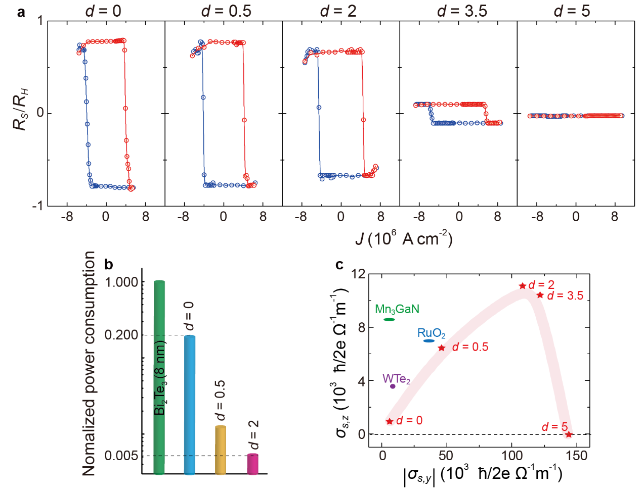
论文的研究内容主要集中在通过设计晶体对称性破缺的WTe2/反铁磁绝缘体NiO/铁磁体异质结,首次观察到面外方向的反阻尼磁振子转矩(图1)。此外,研究还发现,具有面外极化的磁振子流可以穿透25纳米厚的多晶NiO层,并保持其原始自旋极化方向不变。最后,通过引入具有高自旋霍尔电导率的PtTe2层,该团队在PtTe2/WTe2/NiO/CoFeB异质结中实现了垂直磁化铁磁层CoFeB的全电学、低功耗操控(图2)。这些发现不仅在基础科学研究领域具有重要意义,还为未来开发高效磁性存储器件和自旋电子器件提供了新的理论和实验基础。(来源:科技部 化学与材料科学学院)

图1面外反阻尼磁振子转矩的观测

图2 PtTe2(d)/WTe2(8-d)/NiO (25 nm)/铁磁层中垂直磁化铁磁层的全电学低功耗操控和高自旋霍尔电导率
原文链接:https://www.nature.com/articles/s41565-024-01741-y
一审:安建梅
二审:白 晶
三审:郭俊平

